
بعدما اقتحم الذكاء الاصطناعي مجالات العلوم على اختلافها، ها هو يطرق باب الفن، المجال الذي ظلّ حتى الأمس القريب حصناً لإبداعات عقل الإنسان دون غيره، حسبما اعتقد ويعتقد كثيرون. فظهرت أعمال فنية يقال إنها “اُنتِجت بواسطة الذكاء الاصطناعي”. ولكن ما هي نسبة مساهمة الذكاء الاصطناعي في هذه الأعمال؟ هل حلّ تمامــاً محل عبقرية الفنان؟ أو هل يمكنه ذلك في المستقبل؟
هذا ما حاولت القافلة أن تستكشفه في جلسة نقاش عن بُعد، وشارك فيها عدد من المختصين، ظهر تباين واضح بين أرائهم وتوقُّعاتهم ونظراتهم إلى حال الفن ومستقبله في مواجهة زحف الذكاء الاصطناعي صوبه. كما كان لعدد من المتابعين مباشرة على الشبكة تعليقات قيِّمة أثرت الحوار.

شهد المعرض الدولي الخامس للأعمال الفنية والعلمية ببكين خلال العام الماضي عرضَ أكثر من 120 عملاً فنياً، أبدعها نحو 200 فنان من أكثر من 20 دولة. وأظهرت تلك الأعمال استكشافات الفنانين المتعدِّدة لمجال الذكاء الاصطناعي، بما في ذلك موضوعات مثل حدود الإدراك البشري، والنموذج الفني للابتكار التكنولوجي والابتكار التعاوني للتكنولوجيا والفن.
وفي التأسيس للنقاش، أشار مدير الجلسة فهد الحازمي إلى حضور الذكاء الاصطناعي في حياتنا اليوم، ووصول هذا الحضور إلى الفن، مستعرضاً قصة لوحة الفنان إدموند دي بيلامي التي بيعت في دار المزاد العلني “كريستيز” بنيويورك، في أكتوبر 2018م، بمبلغ 432 ألف دولار، بوصفها أول عمل فني أنتجه الذكاء الاصطناعي وتم بيعه في مزاد علني، علماً أنها لفنان غير معروف ولم يُسمع به من قبل. فهذه اللوحة أُنتجت اللوحة بواسطة خوارزمية (أو نظام رياضي) تستند إلى سلسلة بيانات، مستمدة من 15 ألف لوحة فنية، مرسومة بين القرنين الرابع عشر والعشرين.
ومن هذا التمهيد، طرح الحازمي سؤاله على المشاركين في الجلسة: هل هذا الفن يُعدُّ فنّا حقيقياً؟ وهل يُعامل مثل الفن الحقيقي والواقعي الذي اعتدنا عليه؟
الإبداع الفني مختلف
مهما بلغت بيانات الذكاء الاصطناعي
أوضحت الفنانة التشكيلية لولوة الحمود أن الآراء حول علاقة الفن بالذكاء الاصطناعي متباينة. وأشارت إلى تجربة سبقت لوحة إدموند دي بيلامي، وطالت أعمال الرسام الهولندي رامبرانت، حين قام فريق من الخبراء بإدخال كثير من لوحات هذا الرسام الهولندي إلى الكمبيوتر، وأنتجوا لوحة جديدة بأسلوب الفنان الهولندي؛ وكأن رامبرانت نفسه هو الذي رسمها بعد وفاته بحوالي 350 سنة.
والذي حصل أن جهاز الكمبيوتر جمع البيانات، ودرس أسلوب رامبرانت، فاكتشف الأنماط التي كان يرسم بها بعض الصفات المحدَّدة، مثل ملامح الوجه والعينين، وطريقته في رسم المناطق المُضاءة وتلك التي في الظل وغير ذلك من التفاصيل، ثم أنشأ خوارزميات تُعلّم الآلة كيفية إنتاج صورة جديدة بأسلوب رامبرانت الفريد.
وفي جواب مباشر عن سؤال طرحه مدير النقاش فهد الحازمي قالت الحمود: هذا الفن الذي سألت عنه، تدخلت في إنتاجه الآلة، لكن مَنْ كان وراء إنتاجه حقاً هو الإنسان. ولذا فإن هذا الفن لا يحتاج إلى فنان فحسب! وإنما إلى فنان ومبرمج في آنٍ واحد. فالفنان يعمل بأدواته الفنية، والمبرمج يتقن التعامل مع الآلة.
وأضافت: “إن الذكاء الاصطناعي أداة يمكن استخدامها بما أننا عاصرناه، وشهدنا إمكاناته. واستخدام الذكاء الاصطناعي في الفن لا يُلغي الفنان ولا يُقلل من مكانته. والحق أن إنتاج هذا الفن هو عمل فريق كامل من المبرمجين، والمخرجين الفنيين، وغيرهم، وليس عمل فنان واحد”.
وانتهت الحمود في هذا السياق، إلى أنّ الفنان في إنتاجه لهذا الفن يتخذ أدوات وأساليب كثيرة، وليس معنى ذلك أن المبرمج أخذ أو سيأخذ دور الفنان. إذ ليس للإبداع منطقٌ محددٌ. والإبداع البشري تحديداً يختلف عن الإبداع التقني مهما بلغت قدرات هذا الأخير، ومهما إحتوت بياناته.
الوقع على المتلقي هو ما يحدِّد
كون العمل فناً أم لا
من جهتها قالت الفنانة والباحثة في فلسفة تعليم الفنون بجامعة بوسطن فوز الجميل، إن الصفة التي تميِّز العمل الفني عن الأعمال العادية والأشياء الطبيعية هي بحسب المفكر الإنجليزي كلايف بيل: “الشكل الدال”، وهو مجموعة الخطوط، والألوان، والتناسق والتجانس، وحتى الأشياء الكامنة في داخل الإنسان: كالإحساس، والرقة، والهيبة، والجمال”. وهو كما يعرّفه بيل نفسه “الكيف الذي يميِّز الأعمال الفنية عن الأعمال العادية، أي النمط، الطريقة، وأسلوب تنظيم العناصر الحسية للعمل الفني”.
وأضافت أنّ هذه العناصر عندما تجتمع في عمل ما، وتنعكس على المتلقي له، تُحقّق ما يُعرف في فلسفة الفن بـ: “الانفعال الجمالي”، وبالتالي يمكن أن نقول عن ذلك العمل “فناً”!
ومضت الفنانة الجميل إلى القول إنها لا تهتم بمن صنع الفن: هل هي الآلة أم هو الفنان البشري أم كلاهما معاً؟! بل تهتم بكيفية تعامل وتعاطي المتلقي مع العمل الفني. وتجد -في الوقت نفسه- أن لوحة إدموند دي بيلامي التي أشير إليها سابقاً، تحمل في أساسها فناً، بل فناً مشتركاً مع أعمال فنية من القرن الذهبي وما قبله وما بعده، إضافة إلى شيء من روح وإرادة التقنية. لكنها عادت لتشدّد على أن التعامل المباشر بالدرجة الأولى، هو التعامل مع العمل الفني نفسه، بغض النظر عن نوعه، مما يتيح له فرصة التعريف عن نفسه.
وتطرَّقت الجميل إلى بعض الحالات والأمثلة التاريخية، مثل لوحات الفن الواقعي وفن الطبيعة الصامتة، التي ظهرت في القرن السادس عشر، حيث نجد أن باحثاً بريطانياً توصَّل إلى نظرية مهمة تثبت أن الفنان الهولندي جوهانس فيرمير وغيره من معاصريه، استخدموا الكاميرا المظلمة التي كانت أداة تقنية بصرية في ذلك العصر.
وأضافت: “هذا يذكرني بالتشكيك في قدرات الفنان الإنسان الطبيعية في إنتاج الفن الواقعي الذي كان موجوداً في القرن السابع عشر، ويدعو إلى التساؤل: هل تغيَّرت نظرتنا نحن لهذا الفن؟ وهل نشعر بالغش فيه لاستخدامه الآلة؟
بالنسبة إلي، الجواب هو: لا. وهذه القضية لا تزال جدلية حتى الآن، فهناك قلق من ضمور الفن، أو موت الفنان. ولكن من خلال تتبعنا التاريخي لكل هذه الحالات: لم يمت الفنان، ولم يضمر الفن. كما لم يقلُّ تقديرنا كمتلقين لهذه الفنون. بل ما حصل هو العكس”.
“مشكلتنا هي في نظرتنا الكلاسيكية إلى الفن”!
بعد ذلك، تحدَّثت المديرة الإعلامية لمؤسسة الفكر العربي ثناء عطوي، وانطلقت مما تراه وجود علاقة ملتبسة بين الفن والحقيقة، وأن مفهوم الفن يشير بحد ذاته إلى كونه غير حقيقي. وتساءلت: كيف سيكون الحال عندما يدخل الذكاء الاصطناعي في إنتاج المحتوى الفني؟ الأمر الذي يُعدُّ تحدياً كبيراً للفنان. فالعالم يحاول استكشاف الاستخدامات المحتملة للذكاء الاصطناعي في الفن. وهو -أي الذكاء الاصطناعي- يعرض علينا أن نُغيِّر (كلياً أو جزئياً) من مفهومنا ورؤيتنا للفن، بل ويدعونا إلى توسيع آفاقنا في هذا الإطار.
وقالت: “إن مشكلتنا مع الفن هي في نظرتنا الكلاسيكية إلى اللوحة، وإلى العمل الفني بشكل عام. وفي الوقت الذي اختلف فيه مفهوم الفن، وأصبحنا في مرحلة (فنّ الفضاء) لا يزال تفكيرنا واقفاً عند اللوحة المعلَّقة على الجدار، رغم أن اللوحة الفنية لم تَعٌد مؤطرة مثل الصور الفوتوغرافية التي ظلّت حبيسة الألبومات حتى ظهر التصوير الرقمي، وغيّر مفهوم التصوير كلياً، وأطلق العنان للصورة”.
السجال سيبقى
والتجديد سينتصر في النهاية
وتوصَّلت عطوي في حديثها إلى أن السجال بين الذكاء الاصطناعي وبين الفن سيبقى. وسينتصر التجديد والتطوير في نهاية المطاف، وسيأخذ الذكاء الاصطناعي بأيدينا نحو التطوُّر والتغيير والانفتاح على “فن جديد”، شرط ألا يصل بنا الحال إلى الاستهلاكية الجمالية للفن، وأن نبقى مدركين ومتشبثين بالفرق بين القبيح والجميل، وبين القيّم والرديء. وشدَّدت على أن ذلك يعني صراحة ألا ننساق وراء كل شيء يقترحه الذكاء الاصطناعي باعتباره فناً مُدهشاً وبالغ الجَمَال!
ولفتت إلى أن في الآونة الأخيرة، ظهرت نزعة فنية تَعُدُّ كل شكل من أشكال التعبير مهما كان “فناً حديثاً”. وذكرت على سبيل المثال معرضاً فنياً في أمستردام، حيث عرض أحدهم سلكاً كهربائياً ومصباحاً يتدليان نحو الأرض. ورأت أنه “لا يجب أن يبلغ الضحك علينا هذا الحد، وأن تُعَدَّ الأعمال البسيطة أو الرديئة فناً، وأن نستهلك الجَمَال بهذه الطريقة. وهذا ينطبق على ما ينتجه أو سينتجه الذكاء الاصطناعي، وهو أمر يجب الانتباه له”.
السعي إلى معايـيـر جديدة في الفن
واستعرضت عطوي مقطعاً مرئياً يتضمَّن نظرة مستقبلية إلى التصميم تؤسس لما وصفته بـ”التجريب الفني” الهادف إلى وضع معايير جديدة للتصميم والعمارة تندرج تحت الأطر الفنية، ويتيح للفنان المعاصر أن ينطلق في إدراك مفاهيم فنية جديدة تنمِّي الوعي والتفكير والأداء الإبداعي والعلاقات الفنية، إضافة إلى البحث عن أساليب وتقنيات جديدة، تثري مجاله الفني. ففي رأيها، إن تعلُّم الفن لا ينتهي، ولذا سيكون الحال مع الذكاء الاصطناعي الذي سيفتح آفاقاً كثيرة وكبيرة أمام الفن والفنانين أمراً مختلفاً. والأمر لا يعني الفنان وحده، بل يعني العالم أجمع، وهذا ما يدعونا إلى أن نتغير من الداخل، ونُغيّر من مفاهيمنا، ومن طريقة تفكيرنا وتلقينا للجَمَال والفن.
ليس للإبداع منطقًا محددًا. والإبداع البشري تحديدًا يختلف عن الإبداع التقني مهما بلغت قدرات هذا الأخير، ومهما إحتوت بياناته.
لولوة الحمود
تقنيات الفن في الذكاء الاصطناعي
بعد ذلك، استعرض فهد الحازمي، أهم التقنيات التي يستخدمها الذكاء الاصطناعي في الأعمال الفنية، متسائلاً عن الإمكانات التي يجلبها الذكاء الاصطناعي إلى الابتكار الفني؟ وما تأثير تكامل الفن والعلوم على حياتنا؟ وأهم هذه التقنيات المستخدمة في هذا المجال، التي تُعدُّ الأطول عمراً في أبحاث الذكاء الاصطناعي، هي:
“الشبكات العصبية الاصطناعية”
وهي تقنيات حسابية تُحاكي طريقة عمل الدماغ البشري، عن طريق معالجات ضخمة تتألَّف من وحدات معالجة بسيطة تسمى عصبونات أو عقد. وهذا الترابط بين الخلايا العصبية يمنحها القدرة على تخزين المعلومات والصور والصوت وغير ذلك، ثم تتيح لها أيضاً التعلُّم عن طريق التكرار والخطأ.
“الشبكات التنازعية التوليدية”
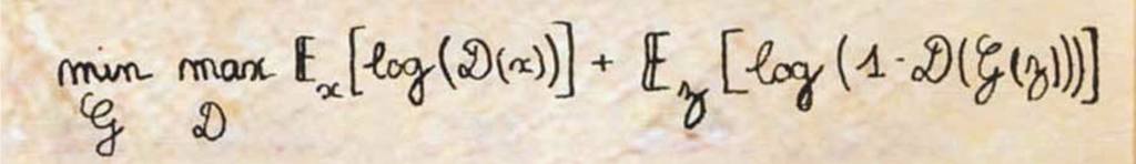
أو ما يُعرف بـ”Generative adversarial network”، وهي التقنية التي استخدمت في إنتاج لوحة “إدموند دي بيلامي” التي بيعت في مزاد كريستيز بنيويورك. وتتكوَّن الشبكة التنازعية التوليدية من مكوّنين، هما: (شبكة توليدية، وشبكة تمييزية) انطلاقاً من مصفوفة من الأرقام العشوائية. وتتولى الشبكة التوليدية إنشاء صورة جديدة عبر عدد من التحويلات بينما يكون دور الشبكة التمييزية، هو التمييز بين صور حقيقية والصور المفبركة التي تنتجها الشبكة التوليدية.
تأثير اختلاف أدوات الفنان على الفن
الحديث عن تقنيات الذكاء الاصطناعي المستخدمة في الفن، دفع إلى استعراض صورة للفنان ماريو كلينجمان بعنوان “ابن الجزار”، التي تم إنشاؤها بالكامل بواسطة الذكاء الاصطناعي، وفازت بجائزة لومين الذهبية لعام 2018م. وبعدما شرح الحازمي منهج الفنان في العمل بالاعتماد على الذكاء الاصطناعي، سأل الفنانة لولوة الحمود عن مدى تأثير هذا النهج في العمل على دور الفنان عموماً، واختلاف أدواته.
قالت الحمود “إن الأعمال المشغولة باليد هي ذات قيمة مختلفة عن الأعمال المصنوعة بالآلة. والدليل على ذلك أن الانبهار بـ”الموناليزا” ما زال قائماً حتى اليوم، على الرغم من توفر تقنيات فنية جديدة عن طريق الذكاء الاصطناعي، وعلى الرغم من وقوف مؤسسات كبيرة خلف الذكاء الاصطناعي، تشجع فنونه وتقنياته، التي تخدم الإنسان”.

وأضافت: أنا لست ضد تلك التقنيات، ولكنني كفنانة لا أرغب في دخول مجال التقنيات الفنية؛ لأنني أرى أن الفنان هو شخصية مبدعة، ترغب في أن ترى إبداعها بالطريقة التي تناسبها. وعلى سبيل المثال، لم تقضِ الآلة على فن الخط العربي، بل على العكس تطوَّرت أهميته، وزادت قيمته”.
ولما سُئلت عما استخلصته من تجربة كانت لها في متحف “الأرميتاج” في روسيا حيث اطّلعت على بعض الأعمال الفنية المنتجة بواسطة الذكاء الاصطناعي، قالت: “كانت تجربة ثرية ورائعة. فقد عرفت بوجود أشياء مشتركة بين كل الأعمال التي عُرضت في المعرض، على الرغم من اختلاف الأدوات، والطرق التعبيرية. وكان هناك نوع من السلام، ظهر في اختيار القطع المعروضة. وهذا ما جعلني أتساءل بشدة: هل هذا هو الشيء الذي يحاول العقل البشري العثور عليه عن طريق الآلة؟! كان هناك التعبير بالصوت، والتعبير عن طريق تفكيك الصور للزهور والمناظر الطبيعية، رغم أن “الأرميتاج” متحف كلاسيكي، يحافظ على التقاليد. لكن قبوله عرض أعمال فنية أُنتجت بواسطة الذكاء الاصطناعي هو دليل انفتاح فني كبير”.
لا يجب أن يبلغ الضحك علينا هذا الحد، وأن نَعُدَّ الأعمال الًبسيطة أو الرديئة فنا، وأن نستهلك الجَمَال بهذه الطريقة. وهذا ينطبق على ما ينتجه أو سينتجه الذكاء الاصطناعي، وهو أمر يجب الانتباه له.
ثناء عطوي
نظرة فنية مستقبلية
وجواباً عن سؤال حول شكل العلاقة المستقبلية بين الفن والذكاء الاصطناعي، انطلقت فوز الجميل من تجربتها الخاصة كونها شخصياً معنية برسم البورتريه بالدرجة الأولى. وقالت إنها عندما تنفِّذ عملاً فنياً ما، فإنها تمر بالإجراءات نفسها التي يمر بها العمل الفني عبر تقنيات الذكاء الاصطناعي التي جرى شرحها.
وأوضحت أنها عند رسم البورتريه، فإنها تمر بمئات الوجوه، حتى تصل إلى الملامح المطلوبة، وقالت: في تلك المرحلة أرى عدداً كبيراً من الناس، وألتقط -أحياناً- صوراً لهذه الملامح عندما تظهر. فعملية البحث خلال المراحل التي يمر بها فن الذكاء الاصطناعي، هي نفسها التي يقوم بها الفنان البشري. والاختلاف يحصل في الشكل فقط (هنا آلة، وهناك إنسان).
وأضافت: الفن غير محدود دائماً، ونتائج الفن الاصطناعي تذكرني بـ”الفن المفاهيمي” الذي غالباً ما تظهر أعماله في أشكال عبثية – إن صح التعبير-، وهو نوع جديد من الفن له جمهوره، وسوقه الرائجة.
وحول إمكانية استخدامها لأدوات الذكاء الاصطناعي في أعمالها، قالت: المسألة بالنسبة لي مرتبطة بالذوق. أحب مشاهدة تلك الأعمال، لكنني على علاقة غير فعّالة بالتقنية، وفي الوقت نفسه أنا منبهرة بمنتجات الذكاء الاصطناعي، وبالسرعة التي تظهر بها. وقد أستخدمه شخصياً، فأنا أدرُس فلسفة تعليم الفنون. ونحن في هذا المجال نحاول أن نركِّز على كل أنواع الفنون، بل ونحرِّض على الجديد ونتبنَّاه.”
وأضافت: “إن الأمر لا يتعلَّق بقدرة الآلة على تجاوز قدرات الفنان البشري أو حتى محاكاتها لإبداعه. ومجرد أن تكون الآلات قادرة على إنتاج الفن بشكل مستقل تقريباً، فهذا لا يعني واقعياً أنها ستحل محل الفنانين، بل ستكون للفنانين أداة إبداعية إضافية تحت تصرفهم، أداة يمكنهم التعامل والتعاون معها في دفع حدود الإنتاج الفني والخيال لأقصى حالاته.
من جانبها عبّرت عطوي عن شعورها بأن المستقبل سيكون للمعايير الجديدة، وللمستقبل الفني، وللتجريب. وقالت: “إن الفنانين حول العالم يحاولون ويجرِّبون، ويشكلِّون اليوم مذاهب وأساليب فنية بناءً على تقنية الذكاء الاصطناعي. وأعتقد أننا سنعتاد على وجود لغة وأساليب عمل مشتركة، بين الفن والذكاء الاصطناعي”.

على الفنان مواكبة ركب التطوُّر، وإلاَّ..
وكان الفنان فهد القثامي المهتم بالأعمال الفنية الرقمية من متابعي مجريات الجلسة على الشبكة، وكانت له مداخلة تحدَّث فيها عن “احتمال تحوُّل الفنان إلى أداة للذكاء الاصطناعي”.
وقال: “يستثمر الفنان أدواته باستخدام الذكاء الاصطناعي، لخلق أنماط جديدة من الفن تضيف بُعداً جديداً إلى أعماله وتفكيره واهتماماته، تتيحه مرونة الأدوات المتوفرة له. والفنانون بدأوا يتلمسون ذلك في تماسهم اليومي والمباشر مع البرمجيات والأدوات التي تعمل بتقنيات الذكاء الاصطناعي، والتي ستعيد تدوير أفكارهم وأعمالهم الفنية بسماتها وأنماطها، وبطرق مختلفة”.
وجواباً عن سؤال حول ما إذا كان الذكاء الاصطناعي سيلتهم خلال السنوات المقبلة الفنانين وفنونهم؟
قال القثامي إن الفنان الذي لن يتمكَّن من أدواته الفنية المتصلة بالذكاء الاصطناعي، سيُلغى جزء كبير من تاريخه الفني، بخلاف الفنان المتمكن الذي ستتاح له الفرصة لبناء مراحله الفنية بصورة أفضل!
الفن غير محدود دائمًا، ونتائج الفن الاصطناعي تذكِّرني بـ“الفن المفاهيمي” الذي غالبًا ما تظهر أعماله في أشكال عبثية، وهو نوع جديد من الفن له جمهوره، وسوقه الرائجة.
فوز الجميل
“لا يوجد صوابٌ وخطأٌ في الفن”
ومن المداخلات اللافتة أيضاً ما قاله أستاذ تاريخ الفن والنقد الفني بجامعة أم القرى الدكتور عبدالله الثقفي، الذي أشار إلى جدلية معنى الفن، حيث يرى الفيلسوف نيتشه أن الفن “دافع للحياة”، وأننا نعيش بدافعية الفن. بينما يقول هربرت ريد إنَّ الفن هو صناعة، وخُلق لمتعة تثير وتُبدع خبرةً جمالية جديدة.
وأكد في الوقت نفسه، أن ما تقوم به الفنَّانة فوز الجميل بالنظر إلى العمل الفني بغض النظر عن المؤثرات المحيطة به (داخلياً وخارجياً)، هو ما يتوجَّه إليه النُّقاد الجُدد (أو البنائية الجديدة). وأنه لا يوجد صواب أو خطأ في الفن أو في النظريات النقدية، وبالتالي فإن قراءة العمل الفني بعيداً عن المؤثرات الأخرى هي نظرية قائمة، وتتخلّلها بعض السلبيات، لأنه لا يمكن للفن أن يخرج عن سياقه السياسي والاقتصادي والاجتماعي وغيره.
وربط الثقفي بين معنى الفن وبين “الخبرة الجمالية” التي أشارت إليها عطوي، فرأى أننا “نحن من يصون الخبرة الجَمَالية وليس الفن، ومن شأن ذلك أن يسهم في قراءة الفن في صورته الجيدة، التي نستطيع من خلالها تفسيره، ثم نحدِّد قيمه الجَمَالية، وكيفية تأثيره، ومفاهيمه”.
وانتهى إلى أننا لا نستطيع أن نصل إلى حقيقة الفن الجوهرية ما لم نستخدم الأدوات والخامات ونفسية الفنان، وفكر الفنان، والسياق الثقافي والاجتماعي والاقتصادي والتاريخي حول هذه العملية الفنية أو تلك.
أما أستاذ الفن المشارك بجامعة أم القرى الدكتور قمّاش القماش، فرأى أن الفن المرتبط بالذكاء الاصطناعي، يسير جنباً إلى جنب مع الفن التقليدي. وعندما دخل علينا الفن الجديد أخذنا به، كما أننا – في الوقت نفسه- شعرنا بالحنين إلى الفنون التقليدية، وطبَّقنا بعض الأدوات الرقمية على الفنون التقليدية، بل وأثرّت في بعض أعمالنا التي نستخدم فيها الأكريليك والزيت مثلاً.

مسرح من دون ممثل
وحول تأثر الإبداع الثقافي عموماً بالتقنية الحديثة، ضرب الكاتب المسرحي عبدالعزيز عسيري مثلاً هو إمكانية الاستغناء عن الممثل في العمل المسرحي. واستند في ذلك إلى عرض فرنسي شاهده في العام 1999م، على مسرح الجمهورية، ضمن مهرجان القاهرة السينمائي، “وكان عرضاً مُدهشاً حاز جائزة أفضل عمل في ذلك الوقت”. غير أنه بعد 10 سنوات من العرض، أخبره أحد المسرحيين المصريين، أن العرض استخدم تقنية الهولوغرام (أي أنهم استبدلوا ممثلاً حقيقياً بممثل افتراضي)، ولم يُعلن عن حقيقة الأمر إلا بعد مرور أربعة أشهر على نيل العمل للجائزة.
يستثمر الفنان أدواته باستخدام الذكاء الاصطناعي، لخلق أنماط جديدة من الفن تضيف ُبعدًا جديدًا إلى أعماله وتفكيره واهتماماته، تتيحه مرونة الأدوات المتوفرة له.
فهد القثامي
وماذا عن باقي مجالات الإبداع الفني؟
فنان الغد غير فنان اليوم
وقبيل اختتام الجلسة، لفت الحازمي إلى استخدام أدوات الذكاء الاصطناعي في فنون أخرى، ورأى أن الأمر رهنٌ بالوقت حتى تصبح تلك الأدوات في متناول الجميع، وحتى تُستثمر تلك الفرص، وتتوجه رؤوس الأموال إلى الاستثمار في منصات الذكاء الاصطناعي.
وأورد على سبيل المثال منصة رقمية جديدة إسمها “AIVA”، وهي منصة تعمل كمساعد إبداعي للمبدعين -أياً كانوا- في إنتاج الموسيقى بواسطة الذكاء الاصطناعي. مُبيناً أنها ملاذ حديث لمن يرغب في الانبهار بمستوى التقدُّم، والسهولة في مجال التأليف الموسيقي بكافة أنواعه، الذي يتم إنتاجه بواسطة فنان افتراضي.
وإلى ذلك أضاف القثامي أن هناك برمجيات متقدِّمة في فن النحت، تكاد تُلغي أي محاولات للنحت عن طريق العمل اليدوي تماماً.
وعلى الرغم من إمكانية تحقيق العمل الفني المتمتع بالحس اليدوي والجمالي والإبداعي عند العمل على أدوات تقليدية، إلا أن تلك الأعمال لا توازي قوة الأدوات الحديثة التي تنقل العمل الفني إلى مراحل متقدِّمة جداً. ولذا فإن “فنان المستقبل” -إن صحت التسمية- يختلف عن “فنان اليوم”، حيث تتوافر الفرصة له للتلاعب بالذكاء الاصطناعي، واستغلاله في إنتاج أدوات جديدة، وكذلك إنتاج أعمال فنية جديدة.






